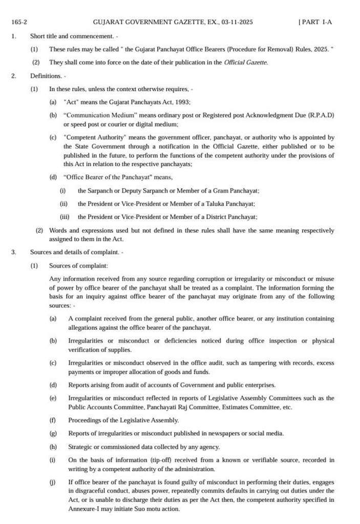
રાજ્યમાં પંચાયતોને ભ્રષ્ટાચાર મુક્ત બનાવવા માટે સરકારે અત્યંત કડક વલણ અપનાવ્યું છે. પંચાયતી રાજમાં ચૂંટાયેલા હોદ્દેદારો દ્વારા થતા ભ્રષ્ટાચારને ડામવા માટે રાજ્ય સરકારે એક નવું રાજપત્ર જાહેર કર્યું છે. જે અંતર્ગત અધિકારીઓને અભૂતપૂર્વ સત્તાઓ આપવામાં આવી છે.
નવી જોગવાઈ મુજબ હવેથી ગ્રામ પંચાયત, તાલુકા પંચાયત કે જિલ્લા પંચાયતના પ્રમુખ સહિતના કોઈપણ હોદ્દેદાર સામે ભ્રષ્ટાચારનો આરોપ સિદ્ધ થશે, તો જિલ્લા વિકાસ અધિકારી (DDO) તેમને તાત્કાલિક અસરથી ‘ઘરભેગા’ કરી શકશે, એટલે કે પદ પરથી હટાવી શકશે.
મહત્ત્વની વાત એ છે કે, ભ્રષ્ટાચારની તપાસ અને પગલાં લેવાની સંપૂર્ણ સત્તા DDO અને તેમનાથી ઉપરના અધિકારીઓને સોંપવામાં આવી છે. આનાથી તાલુકા અને જિલ્લા પંચાયતના પ્રમુખો જેવા ઉચ્ચ હોદ્દા પર બેઠેલા પ્રતિનિધિઓ સામે પણ નિષ્પક્ષ તપાસ કરી કડક કાર્યવાહી કરી શકાશે.



આ નિર્ણયની સૌથી મોટી અસર એ થશે કે હવે ભ્રષ્ટાચારની ફરિયાદ કરવા માટે જટિલ પ્રક્રિયાની જરૂર રહેશે નહીં. અધિકારીઓ માત્ર સાદી અરજી કે પછી મળેલી મૌખિક બાતમીના આધારે પણ ભ્રષ્ટાચારની તપાસ શરૂ કરી શકશે. પંચાયતી રાજના ઇતિહાસમાં પ્રથમ વખત ચૂંટાયેલા હોદ્દેદારો સામે કાર્યવાહી કરવાની સીધી સત્તા અધિકારીઓને આપતું આ રાજપત્ર ભ્રષ્ટાચાર વિરુદ્ધની નીતિ સ્પષ્ટ કરે છે.






Leave a comment